Учимся на практике
Главное правило, которое поможет понять, что значит гистограмма в фотоаппарате, – больше практиковаться, фотографировать с разными экспозамерами, при различном освещении и постоянно анализировать получившиеся снимки.
Сделайте несколько одинаковых фотографий – одну с экспозицией в +1, другую в +0,3, третью в -0,7. Посмотрите, чем отличаются их экспозиции. Попробуйте перейти на другой режим съемки. Как на этот раз изменился график?
Проверьте эти же снимки при помощи графических редакторов, посмотрите, чем они отличаются от фотоаппарата. Только практика может вам лучше разобраться с пониманием и необходимостью применения гистограммы.
В каких случаях вам больше подойдет гистограмма, а не круговая диаграмма
Rido (Shutterstock)
Существуют некоторые сценарии, где гистограмма вам поможет презентовать ваши цифры лучше, чем круговая диаграмма. Несмотря на то что ваши данные представляют части целого и, казалось бы, именно круговая диаграмма для этого больше подходит. Вот эти условия:
- Ваши данные разбиты на слишком большое количество категорий. Если круг будет разбит на слишком много узких сегментов, становится трудно определять их относительные размеры. Диаграмма окажется чересчур переполненной, подписи и отметки становятся мелкими и плохо различимыми – их трудно прочесть.
- Ваши данные таковы, что размеры сегментов оказались почти одинаковыми и похожими друг на друга. Доли на круговой диаграмме могут иметь схожие между собой, но все-таки не равные пропорции, поэтому зрителю становится трудно осознать и понять их относительные размеры. При беглом просмотре диаграммы без пристального изучения, особенно если нет четких подписей, круговая диаграмма не передает точные пропорции сегментов.
- Вам нужно отобразить не один набор данных, а несколько. Здесь вам круговая диаграмма не поможет, ведь она представляет лишь один набор ваших данных, объединенных в целое. У вас, например, не получится сравнить заработную плату работников определенных категорий по должностям, которые разделены по признаку пола.
Лучше всего круговые диаграммы работают, когда вам необходимо отобразить процентное отношение к целому. Но и гистограммы тоже могут служить этой цели – с их помощью вы сможете отобразить процентные значение, а не абсолютные числа. Вы можете их использовать, если обнаружили указанные выше ограничения, или в случае, если категории не взаимоисключающие. К примеру, вы отражаете опрос, позволяющий пользователям выбрать несколько ответов или категорий для одного вопроса.
В качестве итога можно сказать следующее: вы можете использовать столбчатую диаграмму для сравнения категорий между собой, а круговая подходит для сравнения целого и его частей. Однако линейчатую диаграмму удобно использовать для лучшей визуализации процентного состава целого – когда вы имеете более пяти частей или есть трудности с определением пропорций секторов (кратные одной трети или одной четверти).
В обратную сторону это правило не работает: круговая диаграмма оказывается бесполезной при сравнении категорий, если вам не важно целое. Сделаем вывод
Он состоит в том, что гистограмма по всем признакам оказывается более универсальной, чем круговая диаграмма
Сделаем вывод. Он состоит в том, что гистограмма по всем признакам оказывается более универсальной, чем круговая диаграмма.
Источник статьи: When to Use Bar Charts Instead of Pie Charts
Хорошо, но для чего это можно использовать?

Гистограммы являются отличным инструментом для фотографии, потому что они позволяют вам делать две ключевые вещи. Прежде всего, инструмент гистограммы на экране фотоаппарата позволит вам увидеть, насколько сбалансирован по цвету кадр, который вы снимаете, прежде чем снимать его. Слишком много тёмного или тёмные потерялись в композиции? Белые слишком яркие — все детали вымыты? Гистограмма в камере может дать вам приблизительное представление о том, как будет снято ваше изображение.
В дополнение к этому, гистограммы могут также рассказать вам, что не так с изображением. Иногда у потенциально хорошего снимка может быть неверная экспозиция, и у вас нет возможности или времени, чтобы воссоздать момент. Посмотрев на гистограмму вашей фотографии в графическом редакторе после этого, вы сможете узнать, как наилучшим образом вернуть разрушенные экспозиции, и получить приличное или, возможно, даже отличное изображение, которое могло быть изначально плохим.

Давайте уделим минуту, чтобы увидеть некоторые из этих плохо экспонированных изображений и узнать, как мы можем прочитать гистограмму, чтобы превратить их в лучшие фотографии. Все эти изображения были сняты автором в формате RAW, а затем обработаны и улучшены в Adobe Camera Raw. Если вы предпочитаете не использовать Adobe, обычно есть бесплатные инструменты для популярных моделей камер для редактирования необработанных (RAW) снимков, а также очень хорошие бесплатные программы, такие как Raw Therapee. Adobe Lightroom — это ещё одна программа, предлагаемая Adobe, которая является отдельной от Photoshop и часто считается новым стандартом для редактирования файлов Raw и обрабобтки цифровых изображений.
Для тех из вас, кто снимает ваши изображения в формате JPG, а не в формате Raw, вы определённо можете узнать о гистограммах из этой статьи и получить несколько советов о том, как улучшить ваши изображения, но вы можете узнать больше, научившись регулировать контрастность, как Pro работая с файлами RAW. Все остальные читатели, продолжайте собирать простые советы о том, как улучшить ваши фотографии.
Что означают скачки по бокам
Скачки вверх по левому или правому краю указывают на «обрезку» этого тона и потерю деталей в этой области. Обрезанные области часто невозможно восстановить, но обычно рекомендуется выставлять так, чтобы график касался только правого края и сохранял детали выделения. Обычно легче восстановить некоторые детали в тенях и сохранить приличное изображение, чем пытаться создать детали в светлых тонах, которых нет в файле.
Однако в некоторых сценах невозможно сохранить гистограмму в приемлемом диапазоне. Например, если вы фотографируете сцену с резким контрастом, например: закат; яркий солнечный свет и глубокие тени; или внутри здания, где в кадр попадают светлые окна. Во всех этих случаях вы не сможете удержаться от обрезки ни черных, ни белых тонов.

График с высокой контрастностью
На этом графике показано изображение с экстремальной контрастностью, большим количеством черного, всплеском белого и небольшой просадкой посередине.
Это неправильно? Вы можете исправить это?
Нет, это не так. Вы не можете «исправить» это, но вам нужно принять решение, когда вы видите что-то вроде этого. Вы сдвигаете график влево и сохраняете детализацию светлых участков или сдвигаете его вправо, сохраняя детализацию теней?
Здесь нет правильного или неправильного, это то, как вы интерпретируете сцену перед вами. Если сомневаетесь, снимайте в обоих и решайте позже. График выше взят из изображения ниже, поэтому, как вы можете видеть, это вообще не неправильная экспозиция.
В этой сцене нет полутонов.

Вот еще один пример сцены, которая потенциально может выйти за пределы графика с обоих концов.
Обратите внимание, что световой люк наверху крыши переосветлен, а глубокие тени имеют мало деталей.
Обратите внимание, что на этом изображении детали были сохранены в обеих областях. Используя передовые методы, такие как слияние/смешивание изображений, HDR и обработка в Lightroom (или PS), вы можете сжимать диапазон контрастности сцены, чтобы он соответствовал гистограмме и, следовательно, имел детали во всех областях
Используя передовые методы, такие как слияние/смешивание изображений, HDR и обработка в Lightroom (или PS), вы можете сжимать диапазон контрастности сцены, чтобы он соответствовал гистограмме и, следовательно, имел детали во всех областях.
На изображении выше я использовал 4 изображения в брекетах (снятых через 2 стопа друг от друга) и использовал HDR, чтобы снизить динамический диапазон сцены в пределах диапазона печати.
Гистограмма против гистограммы
Итак, в чем разница между гистограммой и гистограммой?
Во-первых, гистограмма отображает и сравнивает категориальные данные, а гистограмма точно показывает распределение количественных данных. В отличие от гистограмм, на которых представлены различные переменные, элементы гистограммы сгруппированы вместе и считаются диапазонами.
Поскольку они различаются по назначению, они отображают данные по-разному. В то время как гистограмма разбивает категориальные данные на прямоугольные столбцы или столбцы, гистограмма отображает данные в ячейках, которые группируют значения в определенные интервалы. Прямоугольные столбцы на гистограмме можно переставлять, а ячейки на гистограмме следуют фиксированному порядку.
Еще одно заметное различие между столбчатой диаграммой и гистограммой — наличие и отсутствие промежутков между столбцами. Бины не разделены пробелами, поскольку интервалы представлены последовательно. С другой стороны, столбцы гистограммы обычно отображаются с промежутками между ними.
Кроме того, прямоугольные столбцы на столбчатой диаграмме представляют категориальную переменную, а длина столбца пропорциональна значению или размеру группы, которую она представляет. Между тем столбцы на гистограмме отображают количественную переменную, которая может отображать либо отдельное значение, либо диапазон значений. Высота столбцов гистограммы пропорциональна размеру группы или интервала, который она представляет.
Наконец, ширина полос на гистограмме одинакова, а ширина полос на гистограмме может не быть равной по размеру, поскольку ее ширина зависит от диапазона области, которую она представляет.
Метод 1: используем инструменты на ленте программы
Это, пожалуй, самый простой способ. И вот, как он реализуется:
- Открываем (или создаем) таблицу. Выделяем любым удобным способом (например, с помощью зажатой левой кнопки мыши) ячейки, на базе которых планируется построить диаграмму.
- Переходим во вкладку “Вставка”, в группе инструментов “Диаграммы” жмем кнопку “Вставить гистограмму”.
- Раскроется перечень возможных вариантов:
- гистограмма;
- объемная гистограмма;
- линейчатая;
- объемная линейчатая.
- После клика по нужному (понравившемуся) варианту, на листе появится гистограмма. В нашем случае мы выбрали самую простую.
Гистограмма с накоплением До того, как приступить к созданию гистограммы с накоплением, проверяем, чтобы самая верхняя левая ячейка таблицы была пустой.

- Выполняем выделение таблицы, на базе которой планируем построить гистограмму. Переходим во вкладку “Вставка”, нажимаем кнопку “Вставить гистограмму” (группа “Диаграммы”) и в раскрывшемся перечне останавливаем на варианте – “Гистограмма с накоплением”.
- Гистограмма вставлена, что и требовалось.
Примечание: в гистограммах с накоплением один столбец содержит сразу несколько значений. В нашем случае – это данные по всем четырем торговым точкам за конкретную дату.
Нормированная гистограмма с накоплением В данном случае отображается (в процентном выражении) вклад каждого значения в общем количестве.

Пример построения гистограммы в Excel
Последующие столбцы — «Год производства», например, с 2001 по 2008 гг. Далее нажмите на поле «Вставка» и команду «Гистограмма», рассмотрите первую с группировкой, выберите ее. Под вашей таблицей появится диаграмма. Переместите на отдельный лист, так она будет иметь более объемный вид.
Когда идет работа с диаграммами Excel, появляются 3 дополнительные вкладки: «Конструктор», «Макет», «Формат»:
- «Макет» отвечает за работу внешнего вида. Здесь можно задать название, обозначить имя горизонтальной и вертикальной осей, вставлять рисунок из файла, готовые фигуры, блок-схемы, выноски, надписи, которые можно установить в любом месте страницы. Изменять разметки каждой оси и включать или отключать линии сетки.
- «Формат» устанавливает стиль каждого элемента. В этой вкладке основными окнами являются «Формат выделенного фрагмента» (используется для уточнения форматирования) и «Восстановить форматирование стиля» (замена пользовательского выделенного элемента общим стилем оформления, что позволяет привести выделенный элемент в соответствие с общей темой рабочего документа Excel). Можно осуществлять заливку, контур фигуры и применять к выделенной фигуре эффекты оформления, такие, как тень, свечение, отражение или объемное вращение.
-
«Конструктор» позволяет изменить тип диаграммы или сохранить как шаблон (то есть сохранение макета в качестве шаблона), который можно применить к другим. Можно выполнять взаимную замену данных на осях. Значения, отложенные по оси Х, перемещаются на ось Y и наоборот. Возможно перемещать на другой лист или вкладку книги.
Таким образом, ознакомившись с примером построения гистограммы, вы сможете самостоятельно построить свою диаграмму.
Шаги
Метод 1
Метод 1 из 1:Построение гистограммы
1
Определите данные (значения). Например, постройте диаграмму, отображающую количество осадков (в мм) в период с февраля 2005 года по февраль 2006 года. Вам нужно найти количество осадков в каждом месяце.
2
Проведите ось Х и ось Y (в форме прямого угла). Выберите данные (диапазоны, периоды, т.п.), которые будут откладываться на оси категорий. Это те данные, которые откладываются по оси Х (ось категорий). Например, временные периоды откладываются по оси категорий. На другой оси будут откладываться значения (продажи, затраты, количество произведенной продукции, другие величины).
3
Промаркируйте ось Х. Разделите длину оси (или количество клеток, если вы используете бумаги в клетку) на количество прямоугольников, которые необходимо нарисовать, чтобы найти ширину каждого прямоугольника. Если вы получили десятичную дробь, округлите ее до ближайшего целого числа. Если прямоугольники соприкасаются, ставьте маркер на месте их соприкосновения. Если прямоугольники не соприкасаются, оставьте пустую клетку между парами прямоугольников и ставьте маркер (название, значение, диапазон) в центре каждого прямоугольника. В нашем примере промаркируйте ось Х названиями месяцев.
4
Промаркируйте ось Y. Разделите количество клеток над осью Х на самое большое число из ваших данных, чтобы вычислить единицу измерения каждой клетки. Если вы получили десятичную дробь, округлите ее до ближайшего целого числа. Точку пересечения осей обозначьте как «0». Поставьте маркеры со значениями: каждая клетка выше 0 увеличивается на полученное число. В нашем примере по оси Y откладываются миллиметры осадков, например, от 10 мм до 70 мм. В этом случае промаркируйте ось Y с шагом 10 (то есть 0, 10, 20, 30 и так далее).
5
Нарисуйте прямоугольники, начиная с оси Х до соответствующего значения на оси Y. Если значение находится между двумя маркерами, приблизительно определите, где его рисовать
Обратите внимание, что в нашем примере прямоугольники должны быть разделены, так как данные не непрерывны.
6
Интерпретируйте данные после построения гистограммы (их визуализации). Обратите внимание на следующее: Выбросы
Это значения, которые сильно отличаются от всех остальных. В нашем примере выбросом является значение «70 мм осадков», так как другие значения лежат между 0 и 40 мм осадков.
Разрывы. Это значения, равные нулю. В нашем примере в июле вообще не было осадков.
Частотность. Это значение, встречающееся чаще всех. В нашем примере значение «10 мм осадков» встречается в апреле, мае и июне.
Кластеры. Ищите скопление наибольших/наименьших значений. В нашем примере больше всего осадков выпало в феврале, марте и апреле 2005 года.
Советы
- Можно построить более сложную гистограмму, если каждому диапазону соответствует два или более значений и поэтому каждому диапазону на оси категорий (ось Х) соответствует два или несколько прямоугольников. В этом случае в пустом пространстве между прямоугольниками дорисуйте еще одни (соответствующих значений, но другого цвета).
- Гистограмму также можно сделать горизонтальной путем перестановки вертикальной и горизонтальной осей.
- Бумага
- Карандаш
- Линейка
3.2.2. Этапы построения гистограммы
Рассмотрим порядок построения гистограммы, характеризующей управляемость процесса производства валиков, с использованием данных приведенного ниже контрольного листка.
Построение гистограммы, как правило, включает в себя следующие этапы .
- Разработка формы контрольного листка для сбора первичных данных (см. § 3.1). Пример такого контрольного листка для процесса производства валиков приведен ниже.
- Сбор статистических данных xi, i = 1, 2, …, N, характеризующих ход процесса, и заполнение второго столбца контрольного листка. После заполнения контрольного листка приступают собственно к построению гистограммы.
- Вычисление диапазона данных (выборочного размаха):
R = xmax − xmin,
где xmax – наибольшее наблюдаемое значение; xmin – наименьшее наблюдаемое значение.
В нашем случае xmax = 10,020 мм, xmin = 9,985 мм, т.е. R = 10,020 − 9,985 = 0,035 мм = 35 мкм.
Определение количества интервалов n на гистограмме часто осуществляют по формуле Стерджесса
n ≈ 1 + 3,322 lg N,
где N – общее количество собранных данных в выборке.
Рекомендуемое число интервалов гистограммы, которое получается при использовании формулы Стерджесса, представлено в табл. 3.2.
Таблица 3.2
К выбору рекомендуемого числа интервалов на гистограмме
| Количество данных в выборке | Число интервалов |
|---|---|
| 23 – 45 | 6 |
| 46 – 90 | 7 |
| 91 – 180 | 8 |
| 181 – 361 | 9 |
| 362 – 723 | 10 |
| 724 – 1447 | 11 |
| 1448 – 2885 | 12 |
По данным рассматриваемого нами контрольного листка N = 88, соответственно n = 1 + 3,322 lg 88 = 7,46 – 7.
Определение размеров интервалов осуществляют так, чтобы размах, включающий максимальное и минимальное значения, делился на интервалы равной ширины. Для получения ширины интервалов h = R/n размах R делят на полученное выше количество интервалов n.
В нашем случае h = 0,035 мм / 7 = 0,005 мм = 5 мкм.
Внимание!
Желательно, чтобы размер интервала был не менее двух делений шкалы измерительного прибора (в рассматриваемом примере данные контрольного листка были получены с использованием микрометрической головки часового типа с ценой деления 1 мкм, т.е. один интервал соответствует пяти делениям шкалы прибора).
Определение границ интервалов.Сначала определяют нижнюю границу первого интервала и прибавляют к ней ширину этого интервала, чтобы получить границу между первым и вторым интервалами. Далее продолжают прибавлять найденную ширину интервала h к предыдущему значению для получения второй границы, затем третьей и т.д. После завершения такой работы можно удостовериться, что верхняя граница последнего интервала совпадает с максимальным значением xmax.
Вычисление частот.В третий столбец таблицы контрольного листка вносят количество ki валиков, попавших в каждый интервал. По результатам наблюдений, отмеченных черточками во втором столбце этой таблицы, подсчитывают общее количество наблюдений (в нашем случае N = 88), а затем в четвертый столбец записывают относительные частоты, выраженные в процентах и подсчитанные по формуле
| ƒi = | ki | 100% . |
| N |
Построение горизонтальной и вертикальной осей графика.Берется миллиметровая бумага, на ней наносятся горизонтальная и вертикальная оси, а затем на каждой оси выбираются масштабы.
Построение графика гистограммы.На горизонтальную ось необходимо нанести границы интервалов. На оси абсцисс с обеих сторон (перед первым и после последнего интервалов) следует оставить место, не менее размера одного интервала. Пользуясь шириной интервалов как основанием, строят прямоугольники, высота каждого из которых равна частоте попадания результатов наблюдений в соответствующий интервал. На график (см. рис. 3.2) наносят линию, представляющую среднее арифметическое значение x, а также линии, представляющие границы поля допуска, если они имеются.
Рис. 3.2. Гистограмма, построенная по данным контрольного листка 3.2
Гистограммы и вероятность
В некоторых ситуациях гистограмма не дает нужной нам информации. Мы можем посмотреть на гистограмму и легко определить частоту измеренного значения, но не можем легко определить вероятность измеренного значения.
Например, если я посмотрю на первую гистограмму, я знаю, что примерно 8000 измерений показали разницу в 0 В между номинальным и фактическим напряжениями стабилизатора, но я не знаю, какова вероятность того, что результат случайно выбранного измерения или нового измерения сообщит о разнице в 0 В.
Это серьезное ограничение, потому что вероятность отвечает на чрезвычайно распространенный вопрос: каковы шансы, что…?
Каковы шансы, что у моего линейного стабилизатора погрешность выходного напряжения будет менее 2 мВ? Какова вероятность того, что частота битовых ошибок моего канала передачи данных будет выше 10-3? Какова вероятность того, что из-за шума мой входной сигнал превысит порог срабатывания? И так далее.
Причина этого ограничения заключается в том, что гистограмма просто четко не передает размер выборки, то есть общее количество измерений (теоретически общее количество измерений можно определить, сложив значения всех столбцов гистограммы, но это было бы утомительно и неточно).
Если мы знаем размер выборки, мы можем разделить количество появлений на размер выборки и таким образом определить вероятность. Давайте рассмотрим пример.
Рисунок 3 – Пример того, как гистограмма может помочь нам определить вероятность путем деления количества появлений на размер выборки
Красные пунктирные линии заключают в себя столбцы, которые указывают на погрешности напряжения менее 2 мВ, а числа, написанные внутри столбцов, указывают точное количество появлений этих трех значений погрешности напряжения. Сумма этих трех чисел составляет 23 548. Таким образом, на основе этого примера по сбору данных вероятность получения погрешности менее 2 мВ составляет 23 548/100 000 ≈ 23,5%.
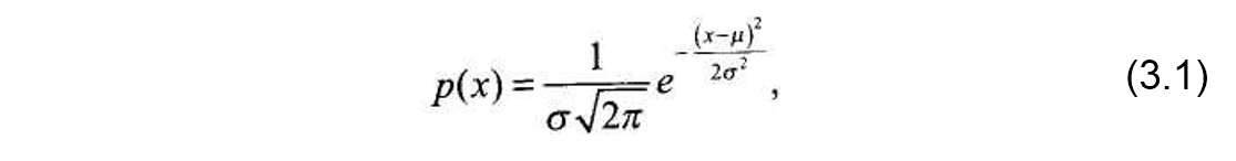
3.2.1. Основные сведения о нормальном законе распределения
В связи с тем что теория управления качеством продукции во многих случаях базируется на использовании так называемого нормального закона распределения, рассмотрим этот закон подробнее.
Плотность р(х) нормального распределения случайной величины х выражается функцией

зависящей от двух параметров, а именно: от µ – математического ожидания и σ – среднеквадратичного отклонения нормального распределения.
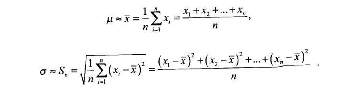
При статистической обработке экспериментально полученных результатов наблюдений x1, x2, …, хn случайной величины х приблизительные оценки значений µ и σ могут быть вычислены по формулам

При стремлении n → ∞ оценки x и Sn стремятся к µ и σ, т.е.
lim x = µ, lim Sn = σ.n → ∞
Графики функции (3.1) приведены на рис. 3.1.

Рис. 3.1. Нормальный закон распределения
На рис. 3.1а приведены графики функции (3.1) при двух значениях параметра σ. Видно, что при значении σ1 < σ2 колоколообразная кривая падает по обе стороны от вершины более круто, чем при σ2 > σ1. С увеличением параметра σ кривая становится более покатой. Однако независимо от значения параметра σ площадь под кривой, представляющей собой функцию (3.1), равна единице. Колоколообразная кривая имеет две точки перегиба, расстояние от которых до ординаты вершины, т.е. до вертикали, проведенной через математическое ожидание х = µ, равно среднеквадратичному отклонению σ. Заштрихованная на рис. 3.1б площадь криволинейной трапеции, заключенная между ординатами х = µ − σ и х = µ + σ, равна 0,6826.
Это означает, что вероятность того, что случайная величина х, распределенная в соответствии с нормальным законом (3.1), находится в интервале (µ − σ < х < µ + σ), равна 0,6826, т.е. Вер (µ − σ < х < µ + σ) = 0,6826.
Если рассмотреть (см. рис. 3.1в) интервал (µ − 2σ < х < µ + 2σ), то Вер (µ − 2σ < х < µ + 2σ) = 0,9544.
Аналогично (см. рис. 3.1г) получается Вер (µ − 3σ < х < µ + 3σ) = 0,9973.
Приведем дополнительные сведения о вероятности попадания случайной величины х, распределенной по нормальному закону, в часто используемые интервалы:
- Вер (µ − 1,96σ < х < µ + 1,96σ) = 0,95,
- Вер (µ − 2,57σ < х < µ + 2,57σ) = 0,99,
- Вер (µ − 3,291σ < х < µ + 3,291σ) = 0,999.
Еще одна удобная вещь в вашей камере — «мигалки»
Чтобы помочь вам определить, насколько далеко нужно зайти в направлении повышения яркости изображения, большинство зеркальных фотоаппаратов имеют настройку, называемую «предупреждение о засветке». При предварительном просмотре изображений на экране камеры любые передержанные участки будут «мигать».
Обратите внимание на мигающие области, это означает, что светлые участки обрезаются везде, где они мигают. Чтобы сделать это на Nikon, просмотрите изображение и нажимайте кнопки «Вверх» или «Вниз» (рядом с кнопкой «ОК»), пока не увидите, что выделенные участки мигают или обводятся контуром
Это «highlight mode». Если вы выберете этот параметр, камера запомнит ваши настройки для следующего изображения, которое вы просматриваете. Возможно, вам сначала потребуется активировать эту функцию «highlight warnings» в меню настроек
Чтобы сделать это на Nikon, просмотрите изображение и нажимайте кнопки «Вверх» или «Вниз» (рядом с кнопкой «ОК»), пока не увидите, что выделенные участки мигают или обводятся контуром. Это «highlight mode». Если вы выберете этот параметр, камера запомнит ваши настройки для следующего изображения, которое вы просматриваете. Возможно, вам сначала потребуется активировать эту функцию «highlight warnings» в меню настроек.
Чтобы сделать это с помощью Canon, нажмите кнопку “Display” или “Info” (в зависимости от вашей модели), пока они не появятся на экране при предварительном просмотре изображений. Вам также может потребоваться включить эту функцию в настройках меню. Обратитесь к руководству по эксплуатации камеры, если не знаете, где его найти.
Гистограмма
Для построения гистограммы по оси абсцисс указывают значения границ интервалов и на их основании строят прямоугольники, высота которых пропорциональна частотам (или частостям).
На рис. 2. изображена гистограмма распределения населения России в 1997 г. по возрастным группам.
| Все население | В том числе в возрасте | ||||||||
| до 10 | 10-20 | 20-30 | 30-40 | 40-50 | 50-60 | 60-70 | 70 и старше | Всего | |
| Численность населения | 12,1 | 15,7 | 13,6 | 16,1 | 15,3 | 10,1 | 9,8 | 7,3 | 100,0 |

Рис. 2. Распределение населения России по возрастным группам
Условие: Приводится распределение 30 работников фирмы по размеру месячной заработной платы
| Размер заработной платыруб. в месяц | Численность работниковчел. |
| до 5000 | 4 |
| 5000 — 7000 | 12 |
| 7000 — 10000 | 8 |
| 10000 — 15000 | 6 |
| Итого: | 30 |
Задача: Изобразить интервальный вариационный ряд графически в виде гистограммы и кумуляты.Решение:
- Неизвестная граница открытого (первого) интервала определяется по величине второго интервала: 7000 — 5000 = 2000 руб. С той же величиной находим нижнюю границу первого интервала: 5000 — 2000 = 3000 руб.
- Для построения гистограммы в прямоугольной системе координат по оси абсцисс откладываем отрезки, величины которых соответствуют интервалам варицонного ряда.Эти отрезки служат нижним основанием, а соответствующая частота (частость) — высотой образуемых прямоугольников.
- Построим гистограмму:

Для построения кумуляты необходимо рассчитать накопленные частоты (частости). Они определяются путем последовательного суммирования частот (частостей) предшествующих интервалов и обозначаются S. Накопленные частоты показывают, сколько единиц совокупности имеют значение признака не больше, чем рассматриваемое.
Как читать и использовать гистограмму
Умение правильно оценивать эту диаграмму поможет спасти снимок или просто сделать его качественнее
Есть несколько моментов, на которые стоит обратить внимание, читая график с тоновой характеристикой фотографии
Где найти гистограмму
Первым делом надо узнать, как открыть ее в фотоаппарате.
В зеркальных фотокамерах обычно предусмотрено 2 способа просмотра.
- Открыть график уже снятых кадров. Для этого нужно включить просмотр фотографии и при помощи мультиселектора настроить необходимый режим отображения. Для этого в фотоаппарате зачастую нужно нажать на кнопку «Вверх»;
- Также ее можно открыть непосредственно в момент съемки. Это возможно при включении режима «Live View». Для этого следует нажать на кнопку «info». На экране отобразится много полезной информации, среди которой и гистограмма.
«Недосвет» и «пересвет»
Если часть гистограммы соприкасается с левым или правым краем, ряд деталей потерян. Это значит, что произошел «клиппинг». Если график коснулся левой границы, часть деталей на фотографии провалилась в черноту (недоэкспонированные зоны), если правой части – на снимке явно есть пересветы (переэкспонированные зоны). К такому итогу приводит неправильно выставленная экспозиция.
Проблему можно постараться устранить при последующей обработке снимков. Но не все умеют и хотят работать в графических редакторах, да и далеко не всё и не всегда эти деффекты поправимы. Особенно в случае с форматами, отличными от «сырого» RAW. Так что лучше сразу подкорректировать экспозицию. При работе с мыльницами это вряд ли удастся. А зеркальные фотоаппараты позволяют просто и оперативно внести нужные изменения.
Чтобы не терять детали в темной части снимка, необходимо прибавить несколько пунктов экспозиции от +0.3 до +0.7. Для затемнения светлых участков – наоборот убавить – от -0.3 до -0.7. Также, изучая график, следует учитывать обстоятельства. Например, при съемке ночью гистограмма должна иметь больше информации в темной части. Она и не должна быть светлой.
Анализ цветовых каналов
Благодаря гистограмме можно узнать сведения об использовании трех основных цветов: синего, красного, зеленого. То есть информацию об RGB каналах по отдельности. Такая диаграмма содержит несколько графиков, на которых указаны не только три главных цвета, но и серый – в местах объединения этих цветов. А также голубой, пурпурный и желтый – в местах пересечения двух основных цветов.
Также бывают графики, отдельно указывающие распределение по фотографии каждого из основных цветов. Однако они не пользуются такой популярностью и бывают необходимы лишь в специфических ситуациях.
Общий вывод
Что касается гистограммы, присматриваться и обращать на нее внимание, просто необходимо. Она во многих случаях, просто убережет вас от дефектных фотографий, и поможет получить качественный результат
Но стоит помнить, что бывают ситуации, когда вы намеренно создаете особый эффект на фотографии, и при просмотре графика, он показывает либо снимок сильно темный, либо светлый. Поэтому, в таких случаях, на график можно не обращать внимание.
Ну как, надеюсь, я вас заинтриговал, что гистограмма очень полезная вещь, и понимание ее, намного улучшит ваши фотографии. А еще не мало важным является правильная постобработка. В статье я не раз упоминал про графические редакторы. Исходя из этого, не могу я вас оставить, без результата. И хочу вам посоветовать, очень простой, понятный и один из лучших видео курсов «Lightroom — незаменимый инструмент современного фотографа». Поверьте, та информация, которая находится в нем, в несколько раз улучшит качество ваших фотографий.
«Lightroom — незаменимый инструмент современного фотографа»
Итак, это все важные советы, которыми я знаю сам и хотел поделиться с вами. Всем описанным выше я пользуюсь сам. Надеюсь, теперь вы тоже будете использовать полученные в этой статье знания. Советую рассказать о статье друзьям, наверняка, им будет интересна данная тема.
Также советую подписаться на мой блог, это позволит вам не пропустить новые интересные статьи о фотографии, а также предстоящие конкурсы. Спасибо за то, что читаете мой блог!




























